java用户角色权限设计-模型,基于角色的访问控制(Role-BasedAccessControl)
点击上方,选择设为星标
优质文章,及时送达
作者 |iceblow
链接 |
前言
权限管理是所有后台系统的都会涉及的一个重要组成部分,主要目的是对不同的人访问资源进行权限的控制,避免因权限控制缺失或操作不当引发的风险问题,如操作错误,隐私数据泄露等问题。
目前在公司负责权限这块,所以对权限这块的设计比较熟悉,公司采用微服务架构,权限系统自然就独立出来了,其他业务系统包括商品中心,订单中心,用户中心,仓库系统,小程序,多个APP等十几个系统和终端
1.权限模型
迄今为止最为普及的权限设计模型是RBAC模型,基于角色的访问控制(Role-Based Access Control)

1.1 RBAC0模型
RBAC0模型如下:
这是权限最基础也是最核心的模型,它包括用户/角色/权限,其中用户和角色是多对多的关系,角色和权限也是多对多的关系。
用户是发起操作的主体,按类型分可分为2B和2C用户,可以是后台管理系统的用户,可以是OA系统的内部员工,也可以是面向C端的用户,比如阿里云的用户。
角色起到了桥梁的作用,连接了用户和权限的关系,每个角色可以关联多个权限,同时一个用户关联多个角色,那么这个用户就有了多个角色的多个权限。有人会问了为什么用户不直接关联权限呢?在用户基数小的系统,比如20个人的小系统,管理员可以直接把用户和权限关联,工作量并不大,选择一个用户勾选下需要的权限就完事了。但是在实际企业系统中,用户基数比较大,其中很多人的权限都是一样的,就是个普通访问权限,如果管理员给100人甚至更多授权,工作量巨大。这就引入了"角色(Role)"概念,一个角色可以与多个用户关联,管理员只需要把该角色赋予用户,那么用户就有了该角色下的所有权限,这样设计既提升了效率,也有很大的拓展性。
权限是用户可以访问的资源,包括页面权限,操作权限,数据权限:
以上是RBAC的核心设计及模型分析,此模型也叫做RBAC0,而基于核心概念之上,RBAC还提供了扩展模式。包括RBAC1,RBAC2,RBAC3模型。下面介绍这三种类型

Tips:欢迎关注Java后端,每天技术文章推送。
1.2 RBAC1模型
此模型引入了角色继承(Hierarchical Role)概念,即角色具有上下级的关系,角色间的继承关系可分为一般继承关系和受限继承关系。一般继承关系仅要求角色继承关系是一个绝对偏序关系java用户角色权限设计,允许角色间的多继承。而受限继承关系则进一步要求角色继承关系是一个树结构,实现角色间的单继承。这种设计可以给角色分组和分层,一定程度简化了权限管理工作。
1.3 RBAC2模型
基于核心模型的基础上,进行了角色的约束控制,RBAC2模型中添加了责任分离关系,其规定了权限被赋予角色时,或角色被赋予用户时,以及当用户在某一时刻激活一个角色时所应遵循的强制性规则。责任分离包括静态责任分离和动态责任分离。主要包括以下约束:
1.4 RBAC3模型
即最全面的权限管理,它是基于RBAC0,将RBAC1和RBAC2进行了整合

1.5 用户组
当平台用户基数增大,角色类型增多时java用户角色权限设计,而且有一部分人具有相同的属性,比如财务部的所有员工,如果直接给用户分配角色,管理员的工作量就会很大,如果把相同属性的用户归类到某用户组,那么管理员直接给用户组分配角色,用户组里的每个用户即可拥有该角色,以后其他用户加入用户组后,即可自动获取用户组的所有角色,退出用户组,同时也撤销了用户组下的角色,无须管理员手动管理角色。
根据用户组是否有上下级关系,可以分为有上下级的用户组和普通用户组:
每个公司都会涉及到到组织和职位,下面就重点介绍这两个。
1.5.1 组织
常见的组织架构如下图:
我们可以把组织与角色进行关联,用户加入组织后,就会自动获得该组织的全部角色,无须管理员手动授予,大大减少工作量,同时用户在调岗时,只需调整组织,角色即可批量调整。组织的另外一个作用是控制数据权限,把角色关联到组织,那么该角色只能看到该组织下的数据权限。
![]()
1.5.2 职位
假设财务部的职位如下图:
每个组织部门下都会有多个职位,比如财务部有总监,会计,出纳等职位,虽然都在同一部门,但是每个职位的权限是不同的,职位高的拥有更多的权限。总监拥有所有权限,会计和出纳拥有部分权限。特殊情况下,一个人可能身兼多职。
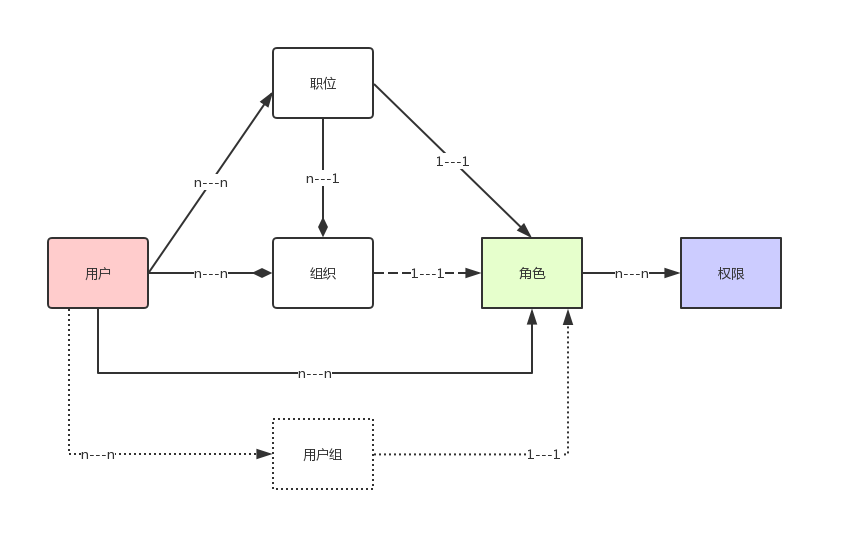
1.6 含有组织/职位/用户组的模型
根据以上场景,新的权限模型就可以设计出来了,如下图:
根据系统的复杂度不同,其中的多对多关系和一对一关系可能会有变化,

2.授权流程
授权即给用户授予角色,按流程可分为手动授权和审批授权。权限中心可同时配置这两种,可提高授权的灵活性。
3.表结构
有了上述的权限模型,设计表结构就不难了,下面是多系统下的表结构,简单设计下,主要提供思路:
4.权限框架
在项目中可以采用其中一种框架,它们的优缺点以及如何使用会在后面的文章中详细介绍.
5.结语
权限系统可以说是整个系统中最基础,同时也可以很复杂的,在实际项目中,会遇到多个系统,多个用户类型,多个使用场景,这就需要具体问题具体分析,但最核心的RBAC模型是不变的,我们可以在其基础上进行扩展来满足需求。
最后,如果您觉得这篇文章对您有帮助,可以点个赞,谢谢支持!

上一篇
