java用户角色权限设计-1.2RBAC1模型概念
1.2 RBAC1 模型
此模型引入了角色继承 (Hierarchical Role) 概念,即角色具有上下级的关系,角色间的继承关系可分为一般继承关系和受限继承关系。
一般继承关系仅要求角色继承关系是一个绝对偏序关系,允许角色间的多继承。
而受限继承关系则进一步要求角色继承关系是一个树结构,实现角色间的单继承。这种设计可以给角色分组和分层,一定程度简化了权限管理工作。
1.3 RBAC2 模型
基于核心模型的基础上,进行了角色的约束控制,RBAC2 模型中添加了责任分离关系。
其规定了权限被赋予角色时,或角色被赋予用户时,以及当用户在某一时刻激活一个角色时所应遵循的强制性规则。
责任分离包括静态责任分离和动态责任分离。主要包括以下约束:
同一用户只能分配到一组互斥角色集合中至多一个角色,支持责任分离的原则。
互斥角色是指各自权限互相制约的两个角色。比如财务部有会计和审核员两个角色, 他们是互斥角色, 那么用户不能同时拥有这两个角色, 体现了职责分离原则
一个角色被分配的用户数量受限;一个用户可拥有的角色数目受限;同样一个角色对应的访问权限数目也应受限,以控制高级权限在系统中的分配
即用户想获得某上级角色, 必须先获得其下一级的角色
1.4 RBAC3 模型
即最全面的权限管理, 它是基于 RBAC0,将 RBAC1 和 RBAC2 进行了整合。
1.5 用户组
当平台用户基数增大,角色类型增多时,而且有一部分人具有相同的属性,比如财务部的所有员工,如果直接给用户分配角色,管理员的工作量就会很大。
如果把相同属性的用户归类到某用户组,那么管理员直接给用户组分配角色,用户组里的每个用户即可拥有该角色,以后其他用户加入用户组后,即可自动获取用户组的所有角色,退出用户组,同时也撤销了用户组下的角色,无须管理员手动管理角色。
根据用户组是否有上下级关系, 可以分为有上下级的用户组和普通用户组:

最典型的例子就是部门和职位,可能多数人没有把部门职位和用户组关联起来吧。
当然用户组是可以拓展的,部门和职位常用于内部的管理系统,如果是面向 C 端的系统。
比如淘宝网的商家,商家自身也有一套组织架构,比如采购部,销售部,客服部,后勤部等,有些人拥有客服权限,有些人拥有上架权限等等,所以用户组是可以拓展的
即没有上下级关系,和组织架构,职位都没有关系,也就是说可以跨部门,跨职位。
举个例子,某电商后台管理系统,有拼团活动管理角色,我们可以设置一个拼团用户组,该组可以包括研发部的后台开发人员,运营部的运营人员,采购部的人员等等。
每个公司都会涉及到到组织和职位, 下面就重点介绍这两个。
1.5.1 组织
常见的组织架构如下图:

我们可以把组织与角色进行关联java用户角色权限设计,用户加入组织后,就会自动获得该组织的全部角色,无须管理员手动授予,大大减少工作量,同时用户在调岗时,只需调整组织,角色即可批量调整。
组织的另外一个作用是控制数据权限, 把角色关联到组织, 那么该角色只能看到该组织下的数据权限。
1.5.2 职位
假设财务部的职位如下图:
每个组织部门下都会有多个职位,比如财务部有总监,会计,出纳等职位,虽然都在同一部门,但是每个职位的权限是不同的,职位高的拥有更多的权限。
总监拥有所有权限,会计和出纳拥有部分权限。特殊情况下, 一个人可能身兼多职。
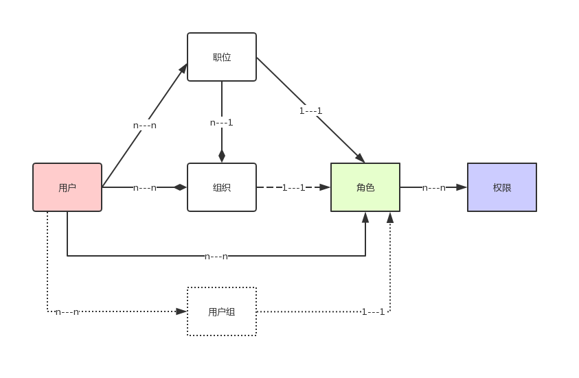
1.6 含有组织 / 职位 / 用户组的模型
根据以上场景, 新的权限模型就可以设计出来了, 如下图:

根据系统的复杂度不同, 其中的多对多关系和一对一关系可能会有变化
1、在单系统且用户类型单一的情况下,用户和组织是一对一关系,组织和职位是一对多关系,用户和职位是一对一关系,组织和角色是一对一关系,职位和角色是一对一关系,用户和用户组是多对对关系,用户组和角色是一对一关系,当然这些关系也可以根据具体业务进行调整。
模型设计并不是死的, 如果小系统不需要用户组, 这块是可以去掉的。
2、分布式系统且用户类型单一的情况下java用户角色权限设计,到这里权限系统就会变得很复杂,这里就要引入了一个 "系统" 概念。
3、此时系统架构是个分布式系统,权限系统独立出来,负责所有的系统的权限控制,其他业务系统比如商品中心,订单中心,用户中心,每个系统都有自己的角色和权限,那么权限系统就可以配置其他系统的角色和权限。
4、分布式系统且用户类型多个的情况下,比如淘宝网,它的用户类型包括内部用户,商家,普通用户,内部用户登录多个后台管理系统,商家登录商家中心,这些做权限控制,如果你作为架构师,该如何来设计呢? 大神可以在评论区留言交流哦!
2. 授权流程
授权即给用户授予角色, 按流程可分为手动授权和审批授权。权限中心可同时配置这两种, 可提高授权的灵活性。

管理员登录权限中心为用户授权,根据在哪个页面授权分为两种方式:给用户添加角色,给角色添加用户。
给用户添加角色就是在用户管理页面,点击某个用户去授予角色,可以一次为用户添加多个角色;给角色添加用户就是在角色管理页面,点击某个角色,选择多个用户,实现了给批量用户授予角色的目的。
即用户申请某个职位角色,那么用户通过 OA 流程申请该角色,然后由上级审批,该用户即可拥有该角色,不需要系统管理员手动授予。
3. 表结构
有了上述的权限模型, 设计表结构就不难了, 下面是多系统下的表结构, 简单设计下, 主要提供思路:
4. 权限框架
在项目中可以采用其中一种框架, 它们的优缺点以及如何使用会在后面的文章中详细介绍。
5. 结语
权限系统可以说是整个系统中最基础,同时也可以很复杂的,在实际项目中,会遇到多个系统,多个用户类型,多个使用场景,这就需要具体问题具体分析,但最核心的 RBAC 模型是不变的, 我们可以在其基础上进行扩展来满足需求。

上一篇
